近日,PA视讯先进电工材料研究中心周文英教授和美国宾夕法尼亚州立大学材料科学与工程系Qing Wang教授合作在美国化学学会旗下著名刊物ACS Applied Materials and Interfaces (IF=8.8, 2019)上发表了题为“Lightweight Porous Polystyrene with High Thermal Conductivity by Constructing 3D Interconnected Network of Boron Nitride Nanosheets”的研究论文。
超高密度电子封装及高电压、大功率电气绝缘技术的发展对所应用的聚合物材料越来越严苛的要求,绝缘场合散热需求极大推动了导热绝缘聚合物复合电介质材料的迅速发展。近年来导热聚合物的研究取得很大的进展,进一步推动了其在微电子封装、电机、动力汽车电池热控制系统、太阳能、LED照明、换热及高效散热器件上的工业应用,但是目前导热聚合物的热导率的提高主要通过使用大量导热粒子(不低于65wt%)在高热阻的基体内构筑出促进声子热传递的路径和通道来实现,而高填充带来了很多明显负面影响,如复合材料的绝缘电阻及介电强度显著下降、介电常数及损耗升高,这严重影响和限制了其在面向5G应用的高频基板,以及高压大功率绝缘装备上的应用;此外,还造成加工成型困难和力学性能劣化。因此,设计和制备低填充量下的高导热聚合物复合材料具有重要研究和应用价值。
面向航空、航天应用的材料设计和制作首要考虑其重量,这是飞行器必须考虑和满足的一个重要技术指标,因为减重意味着更快的航程和更快的速度。而目前传统的填充型导热聚合物很难直接应用于空天飞行器,因为设计对部件重量的严格要求使得导热聚合物的重量被限制在很小范围内,而当前高填充导致的高密度材料很难满足实际设计和飞行要求。因此,设计和开发出轻质高导热聚合物复合材料显得尤为重要。
发泡技术是降低聚合物密度和质量的重要手段,但引入的空气热导率仅为聚合物的1/10,使得聚合物泡沫变成了绝热材料。如何提高低密度泡沫聚合物的热导率是制备轻质导热聚合物的关键所在,基于此理念和实际需求,本研究设计和制备了一种具有多孔结构的氮化硼纳米片(BNNSs)/交联聚苯乙烯(c-PS)复合材料。借助于纯水为起泡剂,在泡沫形成过程产生的圆形泡孔及应力使得原本均匀分布在聚合物内的BNNSs在环形应力作用下在气泡之间的泡壁内形成环形结构的取向分布,这样借助于泡空的形成及孔径发展,使得原本不相连接的BNNSs之间产生了相互连接结构,借助于发泡诱导的BNNSs构建的3D网络为声子传递铺设了高速通道。另一方面泡孔产生又降低热导率,因此,复合体系的热导率与BNNSs形成的网络结构密切相关,而BNNSs的导热通路的构建与发泡比、BNNSs用量、泡孔直径及泡孔密度等因素相关。本研详细研究了上述因素对多孔结构聚合物的热导率的影响机理,进而讨论了对介电常数及损耗因子的的影响,研究结果表明基于泡孔结构的BNNSs/c-PS在最佳条件下呈现出高达1.28W/mK的热导率,远高于同等填料用量下的未发泡体系的热导率,该材料密度下降了接近1/2。
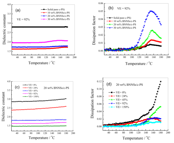
此外,该多孔结构复合材料呈现出明显低于本体聚合物的超低介电常数及损耗,在宽频内保持了极佳的稳定性,以及玻璃化转变温度下的极高的频率及温度稳定性。本研究设计和制作的该超轻聚合物导热复合材料以独特的低密度、超低介电常数及损耗、高比热导率优势在航空及航天电子器件及绝缘散热场合显示了重要的潜在应用价值。

图1 多孔结构BNNSs/c-PS复合材料制备工艺过程

图2 发泡比对BNNSs在c-PS中导热网络的构筑影响

图3 相场模拟不同发泡比例下材料导热能力

图4 用量及发泡比对复合体系的密度、比热导率的影响
图5 发泡体系的介电温谱